郑氏点银:黄金1975上方坚定看涨不变,原油80.6上已拉升
回顾上周五行情走势及出现的技术点:
第一,黄金方面:上周五非农公布前,价格震荡拉升,支撑点逐步上移,就业数据大幅降低,利多金价,直接向上发力冲至2000上方,符合预判,研报也提出一点,突破1992可继续看涨,顺利拿下一波; 而后半夜借助回落,反复于1990上看涨,却步入了震荡结尾;
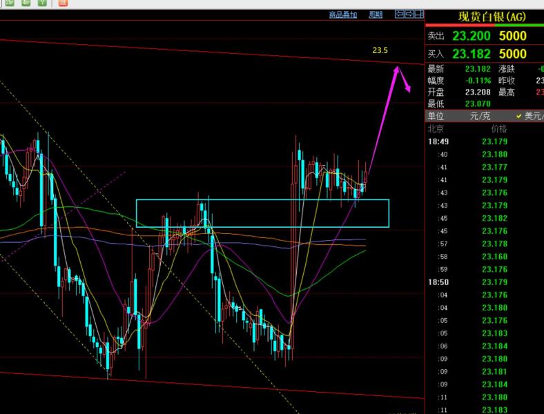
第二,白银方面:反复提示22.5-22.7区域支撑,上周五非农再次企稳于日线中轨,符合上冲一波抵达23关口目标;
第三,原油方面:油价上周几天总体上依旧是过山车区间扫荡行情,突破阻力83.4并未延续,持续的拉升仍就带来大幅的下跌,破了前低后又出现持续的拉升,因为夜间给出了82上和80.6上波段分批多单,目前价格抵达82上方,由于位置入场不佳,可总体上不亏或盈利拿下;当然,相对低位的多单,可尝试看83及上方;
今日行情分析解读:
第一,黄金日线级别:上周五收报一根长上影阳K线,2009下仍具备一些压力,但预计也只是暂缓强势破高,通过高位抗跌整理来消磨时间,或者说通过消磨时间来消化下跌的动能,继而酝酿再一次的拉升上攻;按照周视频中给出的白色通道下轨位置,关键支撑上移1975-76,周初只要守住此关口,容易探底拉升,收报长下影K,下一日就容易收阳上行,最终迟早会上攻2022、2048等阶段性小波段目标;
第二,黄金4小时级别:上周五非农利多,连阳突破收盘站上中轨,重回上方强势,但可惜只是单阳上破,随后连阴又失守中轨,而今日支撑66日均线企稳后,此时又有所突破中轨,意味着布林带在进行缩口整理,等待上下轨的有效破位而开口朝向哪边去发展;
第三,黄金小时线级别:今日亚盘续跌了一波,差一点破位1982支撑,欧盘横盘有所稳住1982,今晚向上关注1992-93亚盘高点,若能突破上行,则起码日内低点再下破的概率就不大,而会存在进一步的上涨,反复去试探2000上方;
因此,对于日内黄金先留意1982上方仍维持看涨,若失守此处,则等待1976-75逢低再试探看涨一次,最终都看好反复测试2000上方;
白银方面:上周五走势明显比黄金强,日线收报大阳,今日白盘一直横盘于23-23.1上,很是抗跌,这种格局下,今晚仍存在二次走高,上方阻力位留意23.5一线,看通道上轨得失情况;下方支撑23-23.1,若向下或转为震荡,届时22.8及下出企稳信号仍可去看涨一次;
原油方面:上周五从83.6逐步跳水打压至80.1,后半夜企稳于80.6上,则是看涨信号,今日又上攻至82, 依旧是反复不定的区间扫荡行情,也只能耐心等区间性的关键位置有效突破后,方可打破震荡,迎接单边;比如,向上突破站稳83.4持续发力后; 此时价格偏中性,也担忧扫荡行情仍存在,若入场位置不佳的,可保守选择调仓,今晚关注81上企稳信号,或依旧是图中趋势线80.6刺破后等待回抽站上企稳信号介入看涨,阻力83-83.1,先继续留意区间性的扫荡,最终只要守住80关口下,仍看好向上的发力;
以上是笔者技术剖析的几个观点,作为参考,也是十年以来,每日12小时以上盯盘、复盘所积累的技术经验总结,每天都会公开技术点,配合文字和视频解读,想学习的朋友,结合实际走势可以去对比参考;认可思路的可以参考操作,带好防守,风控第一;不认可的就当飘过就行;感谢大家的支持和关注;
【文章观点仅供参考,投资有风险,入市需谨慎,理性操作,严格设损,控制仓位,风控第一,盈亏自负】
撰稿人:郑氏点银
每日12小时以上看盘研究,坚持长达十年之久,详细技术解读全网公开,以真心、用心、诚心、恒心、全心服务到底!各大财经网站上撰稿评论!精通K线法则、通道法则、时间法则、均线法则、分割法则、顶底法则;学员合作报名热线——微信:zdf289984986


























































